4.2. Capacitor

Capacitors are found in filter subsystems, where they integrate current ripple to provide limited voltage ripple across their terminals.

../_images/capacitors_and_nstack.svg

Two model variants of capacitors are available, which share some parameters:



4.2.1. Shared parameters by capacitor models

nstack

number of stacked capacitor banks.

Voltage stress ratio

Maximum allowed percentage of rated voltage \(V_{applied} \leq V_{rated} \cdot ratio\)

RMS current stress ratio

Maximum allowed percentage of rated RMS current \(I_{rms\ applied} \leq I_{rms\ rated} \cdot ratio\)

4.2.2. The “Series/parallel bank of off-the-shelf capacitors” capacitor model

This block describes a ‘custom’ equivalent capacitor made by combining standard capacitors described in the database.

The parameters that define the characteristics are:

  • Capacitance, which defines the capacitance in one stage,

  • ESR, Equivalent Series Resistance, equivalent series resistance per stage,

Voltage, current and temperature are assumed to be equally balanced across individual capacitors in the bank.

../_images/capacitorschem.svg

4.2.2.1. Specific parameters

4.2.2.1.1. Technology

Capacitor technology.

4.2.2.1.2. Manufacturer part number

Reference of capacitor used to build the bank. In auto-design mode, this value is automatically determined by the design algorithm.

4.2.2.1.3. nseries

Number of capacitors in series used to build the bank per stage. In auto-design mode, this value is automatically determined by the design algorithm.

4.2.2.1.4. nseries max

Maximal allowed number of series capacitors per stage.

4.2.2.1.5. nparallel

Number of capacitors in parallel used to build the bank. In auto-design mode, this value is automatically determined by the design algorithm.

4.2.2.1.6. nparallel max

Maximal allowed number of paralleled capacitors per stage.

4.2.2.1.7. Cost

Total cost calculated with the following formula:

\[Cost = n_{series} \cdot n_{par} \cdot n_{stack} \cdot \left( a + b \cdot V + c \cdot C \right)\]

Reference values for \(a, b, c\) values can be found in [1]. If cost is negative it will be forced to be 0.

4.2.2.2. Design algorithm in auto design mode

The design algorithm will find a capacitor to meet:

  • a possible minimal capacitance value C required from the filter design (case of LC filter),

  • the required voltage ripple according to the process described by the figure below.

../_images/capacitorbank-designalgorithm.png

4.2.3. The “Simple C” capacitor model

This block describes a ‘custom’ equivalent capacitor.

The parameters that define the characteristics are:

  • Capacitance, which defines the capacitance in one stage,

  • ESR (Equivalent Series Resistance) series resistance of one staged capacitor.

4.2.3.1. Specific parameters

4.2.3.1.1. Density

Capacitor density. This value is only specified in auto-design mode.

4.2.3.1.2. RC product

Relation between ESR and capacitance. It may be taken from any reference of capacitor. This product depends only on the technology and will not vary with the number of capacitors in series/parallel. This value is only specified in auto-design mode.

4.2.3.1.3. Kenergy

Volume per energy. This value is only specified in auto-design mode.

4.2.3.1.4. Kirms

Volume per ampere of rms current. This value is only specified in auto-design mode.

The main equations which govern this model are given below:

\[Volume = n_{stack} \cdot \left( K_{energy} \cdot \dfrac{C \cdot V_{max\:rated}^2}{2} + K_{irms} \cdot I_{rms\:rated} \right)\]
\[Mass = Density \times Volume\]
\[ESR = RC product / C\]
\[Cost = n_{stack} \cdot \left( a + b \cdot V + c \cdot C \right)\]

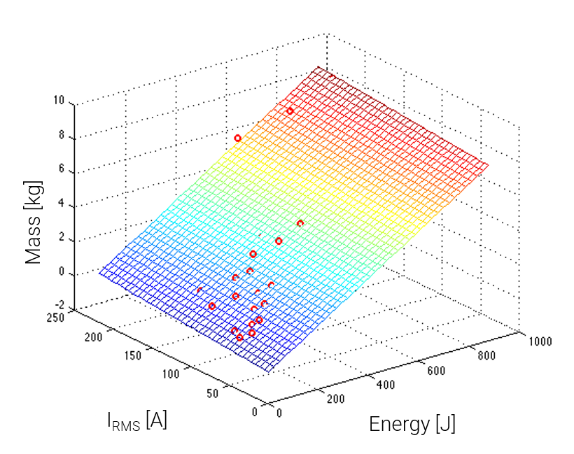
Typical values can be extracted by direct fitting of the capacitor database. In the following table typical default values for film technology are presented and figure below displays this example. For cost coefficient coefficients, reference values are found in [1]. Besides, if cost is negative it will be forced to be 0.

Technology

Density [kg/m³]

Kenergy[m³/J]

Kirms[m³/A]

RC product

Film

1300

5e-6

2e-7

3.2e-8

Electrolytic

1350

6.25e-7

2e-5

1e-4

../_images/simplecapacitor-regressionexample.png

4.2.3.2. Design algorithm in auto design mode

With the “simple C” model, the volume, the mass and the loss are computed from:

  • the capacitance value required from the filter design,

  • the specific parameters (Kenergy, Kirms, Density, RC product).

4.2.4. Flying capacitors in manual mode

In flying capacitor and SMC macrocells, when using the manual mode, the capacitor being specified is the one closest to the mid-point (Stage 1). The other flying capacitor stages are created using the same capacitor reference but scaling is performed to withstand the voltage. Ex:

Stage 2 must withstand twice the voltage of stage 1 and at the same time provide the same capacitance value. Two capacitors are set in series and two capacitors are set in parallel.

Stage 3 must withstand three times the voltage of stage 1 and at the same time provide the same capacitance value. Three capacitors are set in series and three capacitors are set in parallel.

../_images/flycapmanual.svg

4.2.4.1. Citations